Introduction
Obesity is nowadays considered a systemic disorder consequence of an energy intake greater than the energy expenditure, and influenced by several factors such as genetics, environment, behavior and socioeconomics.1 The role of gastrointestinal tract function in obesity remains largely unknown, but recent studies have shed new light on the underlying pathophysiology.1-4 For example, it is now known that the stomach sensory function plays a key role in feeding control, and that satiety is determined by gastric motor function, including tone, accommodation and emptying. Gastric motility disorders reported in obese patients include an increased gastric capacity,3,4 increased postprandial accommodation5,6 and increased gastric emptying.7 A better understanding of changes in motor and sensitive gastric functions in obesity is necessary for the development of adequate and new therapeutic options.
Many techniques such as gastric barostat, ultrasound, SPECT imaging, and gastric emptying scintigraphy have been used to evaluate gastric function. Some of these techniques are invasive and uncomfortable, while others are expensive, not well standardized, highly user dependent, or not widely available. The water load test (WLT) has emerged as a non-invasive, reliable, easy and inexpensive method to evaluate gastric capacity for liquids, and to indirectly evaluate accommodation, sensitivity and gastric emptying.8
The aim of the present study was to investigate the relationship between BMI and gastric capacity using a WLT.
Methods
In an experimental and controlled study, 32 consecutive subjects with high BMI (36 ± 8 years of age, 22 females) attending the outpatient Bariatric Surgery Clinic at the Instituto Nacional de Ciencias Médicas y Nutrición "Salvador Zubirán" (INCMNSZ) in Mexico City were studied. Patients were classified according to their body mass index (BMI) as: a) overweight (OW, BMI > 25 kg/m2 and < 30 kg/m2) n = 5, b) grade I obesity (OI, BMI ≥ 30 kg/m2 and < 35 kg/m2) n = 4, c) grade II obesity (OII, BMI 3 35 kg/m2 and < 40 kg/m2) n = 7, d) grade III obesity (OIII, BMI 3 40 kg/ m2) n = 16.4
Twelve non-obese healthy volunteers (30.5 ± 9 years of age, 10 females) were used as controls. The protocol was approved by the INCMNSZ Institutional Committee for Human Research, and all subjects signed an informed consent.
After an overnight fast of 8 hours, patients arrived at the Motility Unit of the INCMNSZ, an academic, third level, referral center. The WLT was performed by having the subjects drink room-temperature tap water at a predetermined rate of 15 mL/min as reported elsewhere.8 Severity of dyspeptic symptoms was evaluated every 5 min using a 5-point Likert scale. When either a score of 5 was reached for any of the symptoms, or the subject could not tolerate more volume, the test was stopped and the total ingested volume (mL) was registered. The MTV was defined as the total ingested volume.
Symptoms scores and volumes are expressed as mean ± SD. Comparisons for each group were done using c2 and Mann-Whitney tests, when appropriate. For multiple comparisons, the non-parametric Kruskal-Wallis test was used. A p value < 0.05 was considered statistically significant. The Pearson (r) test was used to establish correlations for MTV between WLT and symptom scores.
Results
BMI values were (mean ± SD): 22.3 ± 2 kg/m2 in HV; 27.8 ±1.74 kg/m2 in OW; 33.4±1.9 kg/m2 in OI; 38.2 ± 1.65 kg/m2 in OII; and 43.3± 1.78 kg/m2 in OIII.
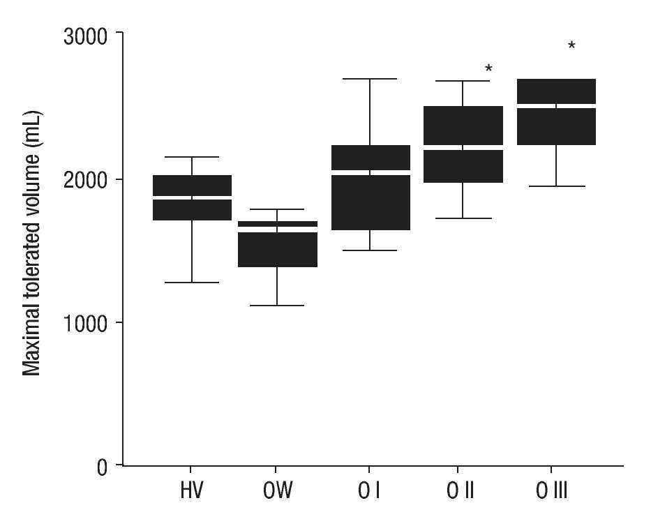
There were no overall differences among groups for age (p = 0.56) and gender (p = 0.78) (data not shown). There were also no differences for MTV according to gender (p = 0.85) (data not shown). Patients with OII and OIII had significantly higher MTV (2089 ± 358 mL and 2339 ± 306 mL) (HV: 1830 ± 240 mL, OW: 1783 ± 286 mL, OI: 2006 ± 510 mL), p = 0.001 (Figure 1). Furthermore, MTV had a positive correlation with BMI (r = 0.68, p = 0.001).
Figure 1. Maximal tolerated volume during the WLT among groups. * p = 0.01, Kruskal-Wallis Test.
Bloating and satiety were the most frequently reported symptoms that made HV and patients with a high BMI stop the WLT test. The severity scores were also similar between HV and obese subjects.
Discussion
Several studies have been recently conducted to evaluate gastric function and its role in the pathogenesis of obesity. In this study, we found that BMI had a positive correlation with greater gastric capacity in obese subjects.
As gastric distention after food ingestion is a key mechanism to induce satiation, it has been suggested that obese subjects have greater food consumption because the volume needed to induce a gastric distention that elicits the feeling of fullness is higher compared to that in controls.3-6 Using invasive (gastric latex balloon distension) and non-invasive methods (SPECT and nutrient drink test), previous studies have found that obese subjects may have a greater gastric capacity.6 Our findings are consistent with such studies suggesting that satiation and gastric capacity in obese patients correlate with a higher BMI. However, the causality of this observation requires further investigation.
The maximum ingested volume of a liquid depends on a balance between mechanisms that increase gastric volume (accommodation reflex) and the negative feedback that slows gastric emptying and induces satiety after a meal.9 The gastric accommodation reflex is elicited both by distension of the stomach and by nutrients in the duodenum. Because water is a non-nutrient stimulus, the WLT primarily tests sensitivity and accommodation to gastric distension and not nutrient-induced alterations (e.g. Nutridrink or other meal tests).10 One mechanism that could induce satiation and fullness during the WLT is the activation of vago-vagal reflexes resulting in proximal gastric relaxation in response to gastroduodenal distension which in turn stimulates gastric stretch receptors that induce vagal discharges and activates hypothalamic neurons.8
Although the WLT has been used to measure gastric sensation and accommodation, we are unable to exclude the possibility that the observed differences in gastric capacity may simply reflect an accelerated gastric emptying in obese subjects. In fact, it has been reported that obese subjects may have an accelerated gastric emptying as a consequence of a rapid intragastric meal distribution to the antrum and, hence, do not require a large proximal portion of stomach to accommodate a meal.8,10
In conclusion, we have confirmed that obese patients have increased gastric capacity, as measured by the WLT. Our findings suggest that obese patients have an increased gastric accommodation and a faster gastric emptying or lower satiety thresholds in response to liquid ingestion. These mechanisms may play a key role in developing or maintaining higher food consumption in obesity. Additional studies are needed to clarify the cause-effect between gastrointestinal symptoms and BMI in obese subjects.
Correspondence:
Dr. José María Remes-Troche.
Laboratorio de Fisiología Digestiva y Motilidad Gastrointestinal, Instituto de Investigaciones Médico-Biológicas, Universidad Veracruzana. Veracruz, México.
Phone number: + (52) 229 2021230.
E-mails:jose.remes.troche@gmail.com, joremes@uv.mx
Fecha de recibido: 17 febrero 2009
* Fecha aprobado: 4 marzo 2009



