Introducción
La enfermedad hepática por alcohol es una de las 10 primeras causas de muerte en los países en vías de desarrollo.1 La hepatitis alcohólica (HA) es una entidad clínica específica que forma parte del espectro de la hepatopatía alcohólica. Aunque su presentación es común, siguen siendo temas de debate su patogénesis, los factores que predicen sobrevida y el tratamiento actual. La mortalidad relacionada a la enfermedad es variable (15 a 55%), siendo las formas graves las directamente asociadas al desenlace fatal de estos pacientes.2 La detección oportuna de HA grave es trascendental, no sólo para la toma de decisiones en cuanto al tratamiento, sino también para el diseño de estudios clínicos que evalúen terapias novedosas para esta condición. La función discriminatoria del índice de Maddrey (IDM) fue la primera escala pronóstica utilizada para la estratificación del riesgo de muerte de los pacientes con HA3 y actualmente el IDM modificado se utiliza como criterio para iniciar tratamiento con corticoesteroides a los pacientes con HA grave.4,5 La escala MELD (Model for End Stage Liver Disease) se ha evaluado en pacientes con HA, mostrando su utilidad pronóstica para establecer el diagnóstico de gravedad e incluso para estimación de mortalidad a 30 y 90 días.6,7 Recientemente, la clasificación de GAHS (Glasgow Alcoholic Hepatitis Scale) se ha propuesto como un predictor de mortalidad, con efectividad hasta de 98% para predicción de muerte a 28 días.8 Previamente, nuestro grupo ha evaluado la utilidad de dos diferentes escalas pronósticas, IDM vs. MELD, para predecir mortalidad intrahospitalaria a corto plazo en pacientes con HA, no mostrando grandes diferencias entre ellas. Sin embargo, se encontró que con ajuste de los puntos de corte se podría mejorar la eficacia de las mismas.9 Por lo anterior, el objetivo en este estudio fue evaluar la utilidad clínica para predecir la mortalidad intrahospitalaria de 3 escalas (MELD, GAHS e IDM), así como el ajuste a mejores puntos de cohorte para valorar la predicción de sobrevida de cada una de ellas en una cohorte de pacientes con HA.
Pacientes y métodos
Pacientes y definiciones
Se analizaron de manera retrospectiva todos los pacientes hospitalizados consecutivamente en el Servicio de Gastroenterología del Hospital Juárez de México en la ciudad de México, Distrito Federal, con diagnóstico de HA. El periodo del estudio fue de enero del 2002 a enero del 2005. Los datos clínicos (ascitis, ictericia, encefalopatía, hemorragia o cualquier otra descompensación relacionada a enfermedad hepática, así como datos de infección bacteriana) y de laboratorio se obtuvieron mediante la revisión de expedientes clínicos de los pacientes identificados.
El diagnóstico de HA se realizó en todos los casos con base en sospecha clínica y criterio bioquímico. Ningún paciente contó con biopsia hepática para la corroboración del diagnóstico.
Los criterios de inclusión utilizados fueron los siguientes:
1) Consumo referido de alcohol dentro de los 2 meses previos o mayor, que sobrepasara los 40 g/día para masculinos y ≥ 20 g/día para femeninos.
2) Relación de aspartato-aminotransferasa (AST)/ alanino-aminotransferasa (ALT) superior a 2.
3) Nivel de bilirrubinas totales (BT) ≥ 2 mg/dL.
4) Pacientes con edad ≥ 18 años.
5) Panel viral negativo (anticuerpos contra virus de inmunodeficiencia humana tipo 1 y 2, antígeno de superficie de la hepatitis B y anticuerpos contra virus de la hepatitis C).
6) Pacientes que contaran con las variables necesarias para el cálculo de GAHS, MELD y de IDM (Tabla 1).
Los criterios de exclusión fueron: falla renal crónica previamente diagnosticada, pacientes en hemodiálisis, enfermedades oncológicas (incluyendo hepatocarcinoma), consumo reciente de drogas intravenosas, diabetes descompensada, uso crónico en los 2 meses previos de medicamentos potencialmente hepatotóxicos, diagnóstico previo de hepatopatías autoinmunes, presencia de hemorragia intestinal aguda dentro de hospitalización o 24 horas previas al internamiento. Se excluyeron también los pacientes que murieran en 48 horas posteriores al ingreso o que causaran alta hospitalaria por otro motivo.
Falla renal previa se definió por una creatinina ≥ 1.35 mg/dL en cualquiera de las analíticas previas de un paciente atendido previamente y con hepatopatía crónica estudiada. El corte de creatinina en paciente de nuevo ingreso se estableció en 1.5 mg/dL (valor máximo normal de nuestro laboratorio central).
Se le llamó descompensación diabética a todo cuadro que cumpliera con los criterios de la ADA10 para cetoacidosis diabética o estado hiperosmolar hiperglucémico.
Hemorragia intestinal aguda se definió como la presencia de hematemesis, melena o hematoquezia causada por cualquier etiología, dentro del internamiento.
Los criterios para infección bacteriana incluyeron: fiebre ≥ 37.5°C por más de 12 horas, peritonitis bacteriana espontánea (líquido ascitis con ≥ 250/mm3 polimorfonucleares y/o cultivo de ascitis positivo a las 48 horas), hemocultivos positivos, infección de vías urinarias demostrada por examen general de orina o urocultivo, y neumonía sospechada clínicamente y por radiografía de tórax. Otras infecciones fueron diagnosticadas por medio de datos clínicos, radiológicos y bacteriológicos. La presencia de choque séptico se definió por los criterios del consenso de la American College of Chest Physicians/Society of Critical Care Medicine.11
La ascistis fue clasificada de acuerdo a las escalas del Club Internacional de la Ascitis.12 La presencia, grado y tipo de encefalopatía hepática se determinaron de acuerdo con la clasificación de West Heaven.13,14
Cálculo de escalas pronósticas
El cálculo de las diferentes escalas se realizó mediante datos recolectados en el ingreso hospitalario o dentro de las 24 horas posteriores en todos los pacientes.
Los puntos de corte para la clasificación de gravedad del cuadro de HA y estimación de utilidad clínica en las distintas escalas fueron: IDM ≥ 32 puntos, MELD ≥ 21 puntos y GAHS ≥ 9 puntos.3-9
Para el cálculo de GAHS se convirtieron las unidades de urea con la siguiente fórmula en todos los casos: Urea (mg/dL) x 0.1665 = Urea (mmol/L).
Tratamiento y seguimiento
Todos los pacientes con criterio de gravedad del cuadro de HA por alguna de las 3 diferentes escalas fueron tratados con prednisona 40 mg/día oral, siempre y cuando no se tuviera alguna contraindicación de recibir el fármaco.
El seguimiento clínico y bioquímico de cada paciente fue realizado por los médicos en turno de hospitalización de nuestra unidad de gastroenterología. Cada paciente fue evaluado mediante interrogatorio y exploración física diariamente. La evaluación bioquímica se realizó cada 24 a 48 horas según la gravedad del cuadro del paciente.
El final de seguimiento se consideró como el día del alta hospitalaria por mejoría clínica o defunción.
Análisis estadístico
Para el análisis de las variables basales se inició por establecer su tipo de distribución con la prueba de Shapiro-Wilk. Las variables se compararon mediante t-test o U de Mann-Whitney según fuese indicado. Se calcularon curvas ROC (Receiver Operating Curves) para cada una de las escalas evaluadas y los valores se expresaron mediante c-estadística, esta ultima equivalente al área bajo la curva ROC. Se calculó la sensibilidad, especificidad y mejor punto de corte, para cada escala.
La utilidad clínica de la c-estadística se interpretó de acuerdo al valor de la misma como: < 0.5 no útil, 0.5-0.6 pobre, 0.7-0.8 buena y >0.8 excelente.15
Con los mejores puntos de corte obtenidos de cada escala se realizó análisis de supervivencia por medio de curvas de Kaplan-Meier y prueba de log-rank. Se consideró significativa una p £ 0.05. El análisis estadístico se realizó mediante el paquete SPSS para Windows (SPSS Inc., 15.0 version, Chicago, IL, USA).
Resultados
Características de los pacientes
Se encontraron 120 pacientes con diagnóstico de HA en el periodo revisado. Un total de 72 pacientes se excluyeron de análisis (15 por hemorragia digestiva variceal intrahospitalaria, 4 por diagnóstico previo de insuficiencia renal y 53 por no contar con variables para el cálculo de las escalas).
Del total de pacientes incluidos (n = 48), se encontraron 9 (19%) femeninos y 39 (81%) masculinos. Se formaron 2 grupos (grupo A = vivos y grupo B = muertos) para el análisis de los datos en función de la sobrevida intrahospitalaria. Las características basales de los grupos se reportan en la Tabla 2.
La mortalidad general fue de 29% (n = 14) y las principales causas de muerte se relacionaron a deterioro renal progresivo (64%), choque séptico (14%) y encefalopatía hepática (22%). La media de estancia hospitalaria fue en el grupo A de 14 ± 8 días y de 8 ± 7 días en el grupo B.
Clínicamente, 70% (n = 24) de los pacientes del grupo A y 100% (n = 14) del grupo B se encontraron con ascitis mayor o igual a grado 2 al momento del ingreso. En cuanto a encefalopatía hepática 89% (n = 30) ingresaron con grado igual o mayor a grado 2 en el grupo A y 100% (n = 14) en el grupo B.
Utilidad de las diferentes escalas para predecir mortalidad
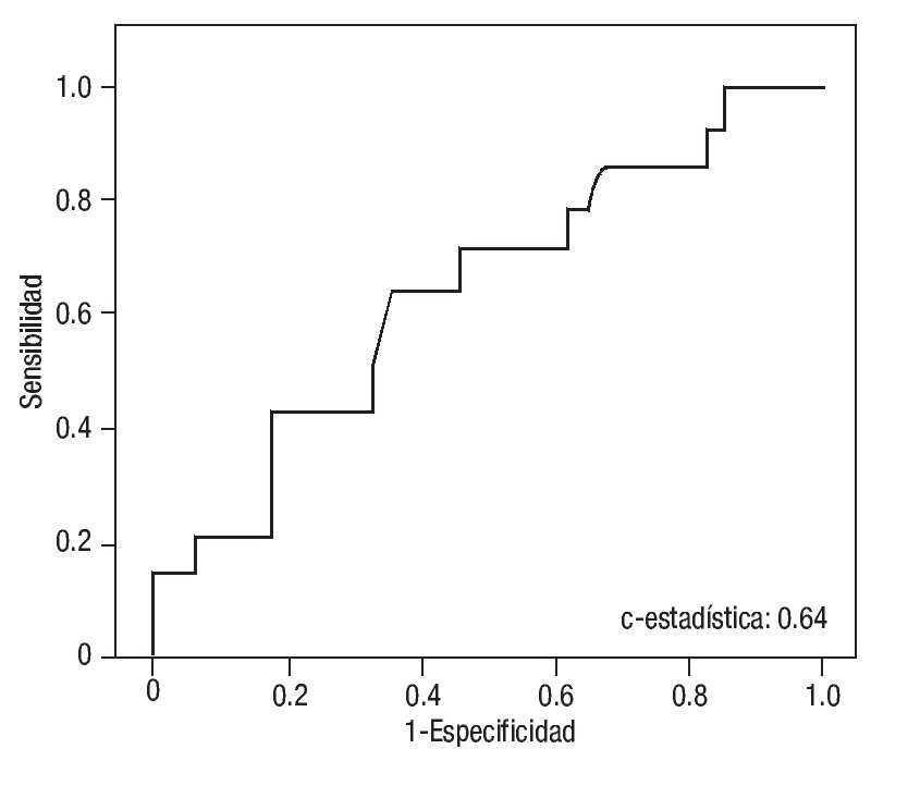
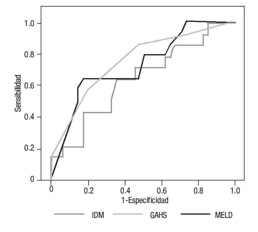
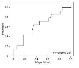
La c-estadística para IDM (≥ 32) fue de 0.64 (IC 95% 0.47-0.81) con una sensibilidad de 100% y especificidad de 5% (Gráfica 1). La escala de MELD (≥ 21) mostró una c-estadística de 0.72 (IC 95% 0.56-0.88) con una sensibilidad de 100% y especificidad de 10% (Gráfica 2). Por otro lado, la c-estadística para GAHS (≥ 9) fue de 0.75 (IC 95% 0.60-0.90) con una sensibilidad de 90% y especificidad de 61% (Gráfica 3).
Gráfica 1. Curva ROC para IDM.
Gráfica 2. Curva ROC para MELD.
Gráfica 3. Curva ROC para GAHS.
La comparación de las diferentes curvas ROC de las escalas pronósticas analizadas se muestra en la Gráfica 4.
Gráfica 4. Curva ROC de las diferentes escalas (IDM, MELD y GAHS).
Análisis de supervivencia y mejores puntos de corte por escala
El IDM tuvo como mejor punto de corte 77 puntos, con una sensibilidad de 64% y especificidad de 65%. Por su parte, la escala de MELD mostró su mejor punto de corte en 37 puntos con una sensibilidad de 64% y especificidad de 83%. En cuanto a la escala de GAHS el mejor punto de corte fueron los 9 puntos.
Al realizar el análisis de sobrevida a las tres escalas, éstas mostraron significancia estadística al ajustarlas con los mejores puntos de corte (Gráficas 5,6 y 7).
Gráfica 5. Análisis de sobrevida de Kaplan-Meier para IDM.
Gráfica 6. Análisis de sobrevida de Kaplan-Meier para MELD
Gráfica 7. Análisis de sobrevida para GAHS.
Discusión
La mortalidad a corto plazo del paciente con HA grave es alta a pesar de los tratamientos actuales. Lo anterior da importancia al reconocimiento temprano de los cuadros graves de HA para estratificación de estos pacientes a tratamiento y realización de estudios clínicos.
En este estudio se evalúa la utilidad para predecir mortalidad intrahospitalaria de 3 escalas pronósticas en una población mexicana de pacientes con HA. Asimismo, con los mejores puntos de corte obtenidos de cada una de las escalas se evaluó la supervivencia intrahospitalaria de estos pacientes.
En un análisis previo de este grupo de pacientes que ya ha sido publicado,9 observamos que la utilidad en cuanto a pronóstico a corto plazo de MELD e IDM no eran diferentes en una población mexicana estudiada. En los datos de nuestro actual estudio en el cual añadimos la evaluación de GAHS a las escalas previamente analizadas, se demostró una diferencia de utilidad pronóstica de MELD y GAHS frente al IDM. Esto se puede explicar por el grado de enfermedad y deterioro a nivel renal con el que los pacientes que se analizaron cursaban al momento del ingreso. Además, al comparar los diferentes grupos, el IDM no demostró ser significativamente superior en el grupo de pacientes con desenlace fatal, lo cual nos lleva a pensar, que los factores que confieren mayor objetividad a las otras escalas pronósticas (MELD y GAHS), es el utilizar en su fórmula valores expresados logarítmicamente, o bien, emplear otras variables no utilizadas por IDM, como la edad y el deterioro renal.
Incluso al comparar edad (p = 0.01), creatinina (p = 0.02) y urea (p = 0.05) entre ambos grupos, estas variables muestran significancia estadística.
En datos preliminares de población mexicana informados por Herrera y cols., se mostró que las escalas de MELD y GAHS se correlacionaban significativamente con muerte y no así el IDM.16 Sin embargo, en estos datos los puntos de corte de cada una de las escalas para la correlación aplicada fueron los definidos habitualmente dentro de la literatura. En nuestro estudio, se muestra que en la comparación de escalas en los 2 grupos de análisis MELD y GAHS fueron más elevadas entre los pacientes muertos y no así el IDM. No obstante, las 3 escalas mostraron significancia estadística (p £ 0.05) en el estudio de supervivencia intrahospitalaria. La explicación de esto se puede dar por la utilización de las escalas ajustadas a su mejor punto de corte, de acuerdo a sensibilidad y especificidad en nuestra cohorte de estudio. Aunque debemos de comentar que la única escala que no varió con el punto de corte original fue GAHS, lo cual indica su buena sensibilidad y especificidad en nuestro grupo de pacientes. Forrest y cols., en la justificación para la validación de GAHS menciona cómo en su cohorte de pacientes, las escalas tradicionalmente aplicadas no mostraron una eficacia adecuada para predecir mortalidad y esto se explicaba probablemente por el grado de deterioro hepático que estos pacientes tenían al momento de su ingreso.8 En nuestro estudio, el grupo de pacientes analizados es similar al presentado por estos investigadores, con niveles elevados de bilirrubina total sérica al ingreso y pruebas de coagulación alteradas de manera importante. Esto podría explicar por qué la única escala que no necesitó ajuste fue la clasificación de GAHS.
Sin embargo, nuestro estudio tiene ciertas limitantes: 1) ser un análisis retrospectivo y de un solo centro; 2) en este estudio se excluyeron más de la mitad de los pacientes por no contar con los datos necesarios para análisis en el expediente clínico y por consecuencia, la muestra analizada es pequeña; y 3) no fue posible la realización de biopsia hepática para comprobación diagnóstica de HA en ninguno de los pacientes, principalmente por las alteraciones de coagulación. Hubiese sido interesante contar con la confirmación histológica de HA para estratificar los diferentes factores de riesgo en pacientes con y sin cirrosis hepática y comparar la utilidad de las escalas pronósticas propuestas entre estos dos grupos. Respecto a este último punto, Domínguez y cols., encontraron en un análisis prospectivo a la edad, MELD y el gradiente de presión de vena hepática como factores independientes de mortalidad a 90 días en el grupo de pacientes con HA sin cirrosis en la biopsia hepática.17
Finalmente, en México hacen falta estudios de índole prospectiva, multicéntrica y con seguimiento a largo plazo en pacientes con HA. Se han estudiado diversos parámetros, como el gradiente de presión portal que ha demostrado tener impacto en el pronóstico de pacientes con HA, por lo tanto, sería interesante, la evaluación del mismo en nuestra población.
En conclusión, en nuestro estudio las escalas GAHS y MELD demostraron ser superiores al IDM, en su utilidad para predecir mortalidad, cuando se utilizaron puntos de corte tradicionales. Sin embargo, el ajuste al mejor punto de corte de las diferentes escalas en la población estudiada, nos muestra que las tres escalas son buenas para la evaluación de la sobrevida intrahospitalaria del paciente con HA. En cuanto a las variables asociadas a muerte en estos pacientes; la edad, creatinina y urea, presentaron una diferencia estadísticamente significativa entre los 2 grupos estudiados en función de sobrevida. Esto alerta sobre la importancia de que el paciente con HA, desarrolle insuficiencia renal dentro del internamiento.
Nota:
El Dr. José Trinidad Altamirano se encuentra realizando una estancia formativa en hepatología en el Hospital Universitario Vall d´Hebron con la recepción del estímulo "Dr. Héctor Orozco Zepeda 2007", por parte de FUNSALUD A.C. y FUNDHEPA.
Correspondencia:
Dr. José Trinidad Altamirano Gómez.
Laboratorio de Referencia e Investigación en Hepatología. Servicio de Medicina Interna-Hepatología. Hospital Universitario Vall d´Hebron. Barcelona, España
Passeig Vall d´Hebron 119-129, C.P. 08035, Barcelona, Cataluña, España.
Correos electrónicos:jtaltami@vhebron.net, dr_altamirano@hotmail.com
Fecha recibido: 01 septiembre 2008
* Fecha aprobado: 09 febrero 2009











